A
3
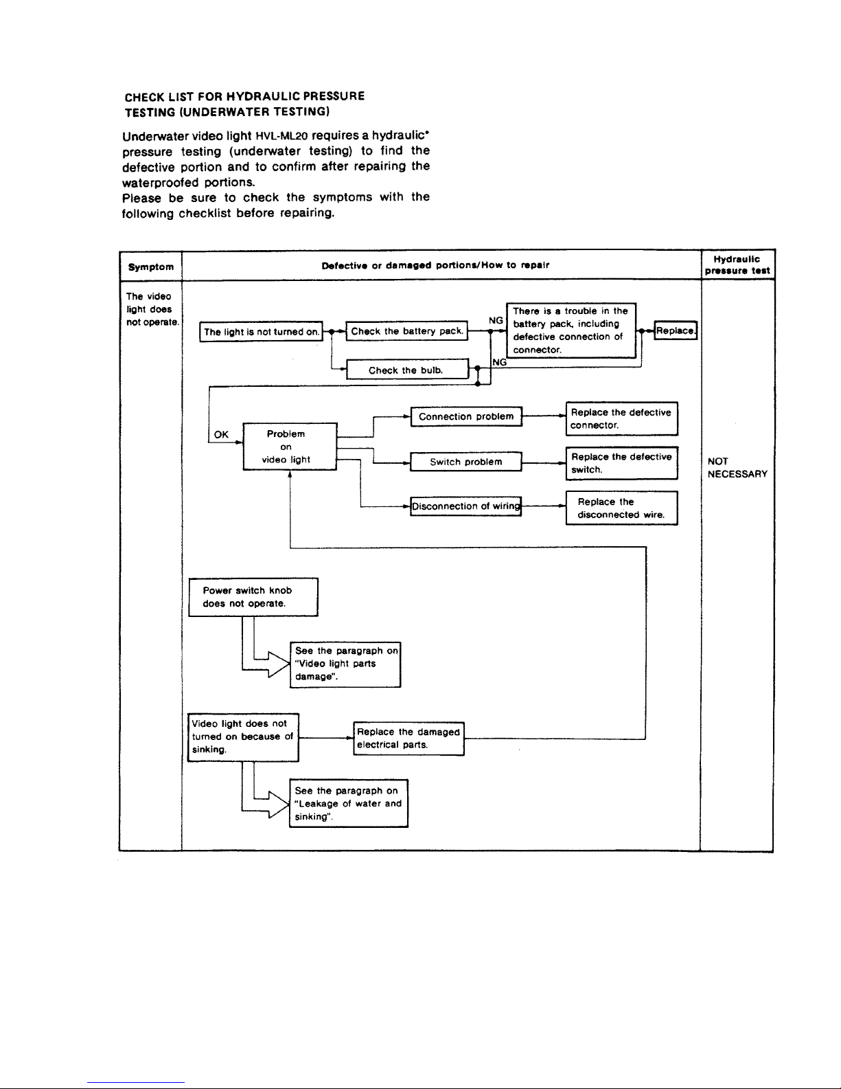
1
2
4
5
7
6
8
9
q;
qa
qs
B
E
D
B
A
O-ring
F
C
O-ring
G
Good example Bad example
water water pressure
vDirt vSand vHair
vDust vSalt vThread scraps
vCracking vSkew vDistortion
vFine Splitting vScratches vSand-biting
AIdentifying the parts
1Power Switch
2Buckle
3Angle lock screw
4Arm
5Arm lock screw
6Rear casing
7Battery pack holder
8Front casing
9Guard
q; Front glass
qa Halogen lamp
qs O-ring
BNotes on the O-ring
What Is an O-ring? (B-A)
•An O-ring is part of the water-proof packing that is
used on underwater cameras, watches, and other
diving equipments.
•The O-ring acts to preserve the waterproof
qualities of the Marine Pack and other equipments.
How the O-ring waterproofs
The surface of the O-ring contacts the rubber to
prevent water from entering the gap. (B-B)
When water pressure acts on the O-ring, the contact
surface area of the O-ring expands to increase the
force acting on the groove on the Marine Pack.
(B-C)
O-ring maintenance is very important. If
O-ring maintenance is not followed according
to instructions, this might cause a water leak,
and cause the Marine Pack to sink. The surface
of the O-ring contacts the entire rubber evenly
to prevent water from entering the gap.
Handling the O-ring
Set the O-ring in place
Avoid setting the O-ring in dusty or sandy locations.
1Remove the O-ring.
Do not use pointed or metal objects to remove
the O-ring. These objects might scratch or
damage the Marine Pack groove or O-ring.
2Inspect the O-ring.
•Fully check the following, and wipe off with a
soft cloth or tissue paper. (B-D)
–Check for any dirt, grains of sand, hair, dust,
salt, thread scraps, etc.
–Check for any old grease.
•Lightly run your fingertip around the O-ring to
check for any unapparent dirt.
•After wiping the O-ring, take care to prevent
any cloth or tissue paper fibres from remaining
on the O-ring.
•Check the O-ring for cracking, skew, distortion,
fine splitting, scratches, sand-biting, etc.
Replace cracked or scratched O-rings.
(B-E)
3Inspect the O-ring groove.
Grains of sand or hardened salt sometimes get
into the groove. Carefully remove them by
blowing with an air spray or by wiping them
with a cotton wool bud. Prevent fibre scraps from
the cotton wool bud from entering inside.
4Also, inspect the contacting surface on the
other side of the O-ring in the same way.
5Apply a coating of grease in the blue tube
to the O-ring. (B- F)
•Apply a small drop of grease onto the O-ring
and evenly coat the entire surface of the O-ring
with the end of your finger.
•Do not use paper or cloth as fibre may stick to
the O-ring.
•Make sure that a thin coating of grease is
applied to the surface of the O-ring at all times.
Grease protects the O-ring, and prevents wear.
•After you have applied a small drop of grease
onto the O-ring, set the O-ring immediately. Do
not leave the greased O-ring on a desk or other
surfaces.
6Place the O-ring in the groove on the
Marine Pack. (B- G)
Place the O-ring evenly in its groove paying
attention to the following points:
– Is there any dirt on the O-ring?
– Is the O-ring twisted?
– Do not pull the O-ring.
– Is the O-ring protruding?
Final check
After you have fitted in the O-ring, check it again for
the following:
– Is the O-ring twisted?
– Is there any dirt on the O-ring?
– Is the O-ring protruding?
– Are there any cracking or distortion on the O-ring?
How to check for water leaks
After you have replaced the O-ring, close the Marine
Pack before you insert the equipment you are using.
Immerse the Marine Pack for about three minutes in
water to a depth of about 15 cm, and check for water
leaks.
Caution
When you have taken photos on a sandy sea bottom
or have placed the camera on the sand, remove the
O-ring and check for water leaks.
Be sure to take a spare O-ring with you.
This facilitates replacement even if O-ring
trouble occurs where you are taking photos.
Maintenance
After you have finished using an O-ring
•After you have used the Marine Pack, be sure to
perform the following:
–Wash the Marine Pack with fresh water with the
buckle closed to remove salt or sand.
–Insert the Marine Pack in fresh water for about 30
minutes with the buckle closed.
If salt is left on the Marine Pack, metal parts and
the O-ring might be damaged, and cause water
leaks.
–When sun oil is stuck to the Marine Pack, wash
off with lukewarm water.
If sun oil is left on the Marine Pack, the surface of
the Marine Pack might become discolored or
become damaged.
–Wipe the inside of the Marine Pack with a soft,
dry cloth. Do not wash with water.
•Remove the O-ring each time that you have
finished using it, and check it.
If the Marine Pack is dried with sea water still in
the O-ring groove, salt crystals form, and might
impair the O-ring’s functions.
•Do not use thinner, benzene, alcohol or other
solvents as they will damage the surface finish.
Storing O-rings
• Attach the spacer that was attached when you
purchased the O-ring to prevent the O-ring from
deteriorating.
• Prevent dust from sticking to O-rings.
• Apply a thin coating of grease in the blue tube to
the O-ring, set it in the groove, and store in a well-
ventilated location. Do not close the buckle.
• Avoid storing O-rings in hot, cold or humid
locations, and placing in naphthalene or camphor.
These locations and solutions will damage the
materials.
How to store O-rings
•To maintain the O-ring’s functions, avoid storing
them in hot locations or in the direct sunlight.
•Do not place the spare O-ring under heavy objects.
Doing so might deform the O-ring.
O-ring life
Replace the O-ring with a new one after one year of
use.
Even if the O-ring is not cracked or scratched,
deformation or wear reduces the waterproof
qualities of the O-ring. Replace the O-ring with a
new one if cracking, skew, distortion, fine splitting,
scratches, sand-biting, etc. is found.
Grease
Use the grease in the blue tube (supplied).
Using the grease in the yellow tube or other
manufacturer’s grease will damage the O-ring,
and cause water leaks.
O-ring and grease
Contact your nearest Sony Service Center.