
- 5 -
ENGLISH FRANÇAIS DEUTSCH ITALIANO ESPAÑOL
5
[m]
2
0
[ft.]
0
10 413
0 10 20 30
0 10 20 30 40 50 60 70 80 90 100 110 120 130[ft.]
40 [m]
00 0 10 20 30
0 10 20 30 40 50 60 70 80 90 100 110 120 130[ft.]
40 [m]
[m]
2
[ft.]
10 413
DWN
UP
DWN
UP
Sens.Select.SW.Sens.Select.SW.
FUNCTION SETTING
Applicable
models
SIP-3020 SIP-4010 SIP-404 SIP-3020CAM DN
Sens.Select.SW.Sens.Select.SW.
Far areaFar area Near areaNear area
57307315730731
UP DWN
Cautions>>
If the red LED keeps blinking for approx. 60 seconds
after turning the power on, turn the power off and then on
again.
5-1
Sensitivity Selector Switch for
Near and Far Area
Applicable
models
SIP-3020 SIP-4010 SIP-404 SIP-3020CAM DN
You can change the sensitivity for far
area detection and near area detection
independently.
SELECTOR
POSITION FUNCTION
SH
Suitable for sites requiring a
level of sensitivity higher than
“H”
H
Suitable for sites requiring a
level of sensitivity higher than
“M”
M
(Factory
default)
Suitable for standard
applications
LSuitable for hostile and narrow
area
5-2
Detection Logic Selector Switch
Dip switch 1
Applicable
models
SIP-3020 SIP-4010 SIP-404 SIP-3020CAM DN
The near area sensor has two dual-element
devices, and it covers two types of plane areas
alternately using the two devices.
SELECTOR
POSITION STATUS
FUNCTION
UP
OR
Factory
default
A sensor signal is output when an
object is detected in either of the two
detection areas.
* Use this mode when you adjust
the detection area. Switch to AND
mode after you have finished the
detection area adjustment.
DWN AND
Use this mode to reduce instances
of incorrect detection of objects. The
sensor signal is output only when
an object is detected within the two
detection areas. If any objects are
blocking multiple detection areas,
use OR mode.
5-3
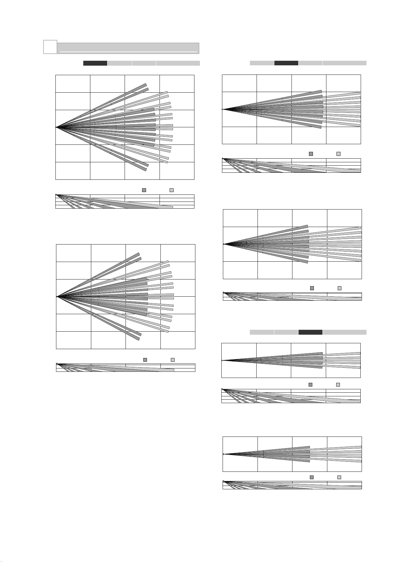
Detection Range Selector Switch
Dip switch 2
SELECTOR
POSITION STATUS
FUNCTION
UP OFF
Cancels the far area detection. The
detection area is reduced as shown
below.
DWN
ON
Factory
default
Enables the far area detection.
Applicable
models
SIP-3020 SIP-4010 SIP-404 SIP-3020CAM DN
Applicable
models
SIP-3020 SIP-4010 SIP-404 SIP-3020CAM DN
Cautions>>
If you cancel the far area detection, the detection
distance is limited to approximately 20 meters (65ft.). Be
sure to readjust and check the detection area using the
area viewfinder and the walk tester.
Cautions>>
When you are checking the detection area, take care not
to cover the shaded area of the window with the walk
tester or its cable. If infrared beams to the sensor are
partially shielded, the detection sensitivity will drop and
the detection operation may fail.
If it is difcult to detect an object>>
1. Set the detection logic switch to the “OR” position (see
Step 5-2).
If the sensor is OK when you have completed the walk
test, return the logic switch to the “AND” position.
2. Adjust the sensor sensitivity switch (see Step 5-1).
To mask the detection area>>
Detection
area How to mask the area Reference
Far area
3-5.hctiwsehtesU
Use the masking plate (mounted
in the main unit). Step 7
Near
area
Use the masking plate (mounted
in the main unit). 8-1
Attach the masking seal (an
accessory) to the area mirror
surface.
8-2
5-4
Alarm Interval Switch Dip switch 3-4
Applicable
models
SIP-3020 SIP-4010 SIP-404 SIP-3020CAM DN
You can set an interval (4 different times) to
suspend the alarm signal output.
For example, if you set this interval to 30
seconds, no more alarm signals will be output
for 30 seconds after the output of the first alarm
signal. If no pedestrians are detected for more
than 30 seconds, the system returns to the
standby mode.
Then, when a pedestrian is detected, the alarm
signal will be output.
SELECTOR
POSITION
FUNCTION
0 sec
(Factory
default)
15 sec 30 sec 60 sec
( )
( )
Near area sensitivity
selector switch
Far area sensitivity selector
switch
Walk tester
connector
Tamper
switch
Operation indicator
(See Step 11.) 1: Detection logic selector
(AND or OR)
2: Detection range selector
switch
3,4: Alarm holding time selectors
Far area detection is canceled.
Far area detection is canceled.
* UL-6: If movement occurs continuously during the time interval directly after the first
alarm, the time period for no alarms starts over.