viii
Technician’s Guide PanaVOKE2.0
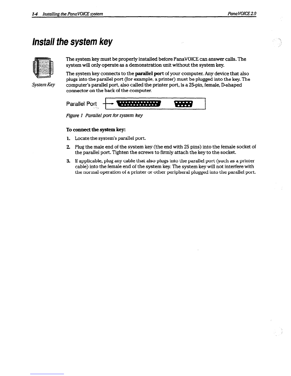
balling and using Remote Maintenance
.........................................................................
151
Remote Maintenance overview .............................................................................................. 153
Thehostandremote computers
.............................................................................................
153
Two disks for Remote Maintenance
........................................................................................
153
Storing phone numbers, names, and modem settings .......................................................... 154
What you need for each computer
..........................................................................................
154
Where to Start
............................................................................................................................
154
Set up the host software ...................................................................................................................... 155
Checking that the host software is loading correctly ........................................................... 157
Solving host software problems
..............................................................................................
157
Install the remote computer’s software
..............................................................................................
158
Set up the remote software .................................................................................................................. 159
Setting the defaul’i phone book entry..
...................................................................................
159
Adding a phone book entry for each host computer ............................................................ 161
Solving problems after installation ......................................................................................... 163
Using Remote Maintenance .................................................................................................... 164
Understand the basics of a Remote Maintenance session ............................................................... 165
Starting the remote version
.....................................................................................................
165
Accessing Remote Maintenance menus
.................................................................................
165
Returning to DOS
.......................................................................................................................
166
Calling a host computer ........................................................................................................... 166
Accessing menus during a connection ................................................................................... 167
Restarting a host computer ...................................................................................................... 167
Ending a connection ................................................................................................................. 167
Unloading Remote Maintenance from memory
.....................................................................
168
Recommended operating system configurations for the remote computer.. ................................ 169
Prepare for file transfers
.......................................................................................................................
170
Set file transfer options
............................................................................................................
170
The file menu screen
.................................................................................................................
170
File Lists ...................................................................................................................................... 171
Status Box................................................................................................................................... 171
Phone Book ID ........................................................................................................................... 171
Local/(Arrow)/Host ...................................................................................................................
172
Scroll Bars ................................................................................................................................... 172
Highlight Bar .............................................................................................................................. 172
Message Line
..............................................................................................................................
172
Functions Line
...........................................................................................................................
172
Transfer files between host and remote computers ......................................................................... 173
During the file transfer
.............................................................................................................. 174
Ifthe file transfer fails ............................................................................................................... 174
Other file menu functions
........................................................................................................ 174
REPLOGfiles ............................................................................................................................... 175
CaIlother computers ............................................................................................................................ 176
Checking TOPTIONSsettings
...................................................................................................
176
Setting up a phone book entry ................................................................................................ 177
Making a caI1using TOPTIONS................................................................................................. 178
Using TOPTIONS functions
......................................................................................................
178
Remote Maintenance advanced features
...........................................................................................
180
Suspending and resuming a session ....................................................................................... 180
Using the billing log .................................................................................................................. 181