
www.irf.com 6
RD-0617
Output
Both outputs for the IRAUDAMP4 are single-ended and therefore have terminals labeled
(+) and (-) with the (-) terminal connected to power ground. Each channel is optimized
for a 4 Ωspeaker load for a maximum output power of 120 W, but is capable of
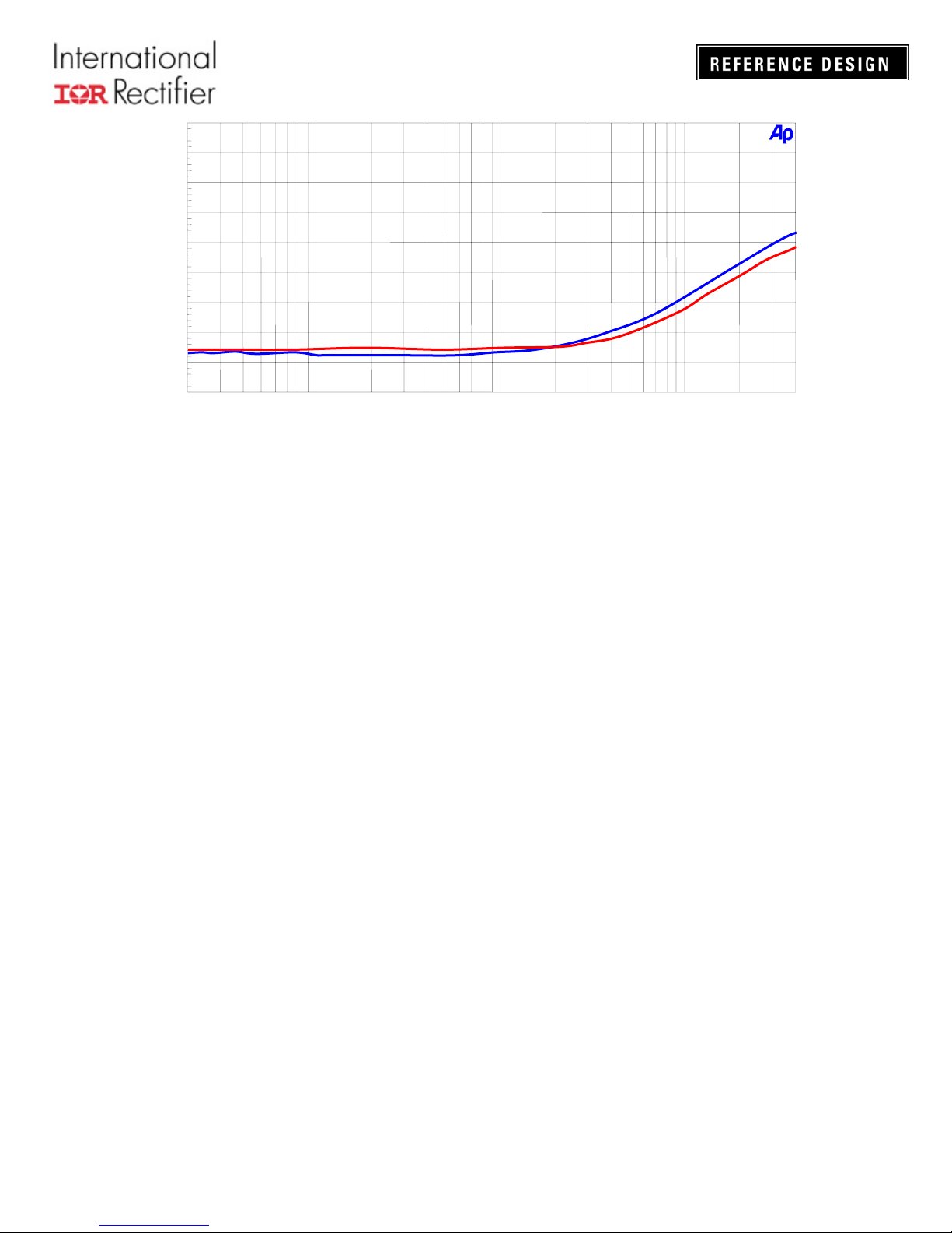
operating with higher load impedances (at reduced power), at which point the frequency
response will have a small peak at the corner frequency of the output LC low pass filter.
The IRAUDAMP4 is stable with capacitive-loading; however, it should be realized that
the frequency response degrades with heavy capacitive loading of more than 0.1 μF.
Gain Setting / Volume Control
The IRAUDAMP4 has an internal volume control (potentiometer R108 labeled,
“VOLUME”) for gain adjustment. Gain settings for both channels are tracked and
controlled by the volume control IC (U_2) setting the gain from the microcontroller IC
(U_1). The maximum volume setting (clockwise rotation) corresponds to a total gain of
+37.9 dB (78.8 V/V). The total gain is a product of the power-stage gain, which is
constant (+23.2 dB), and the input-stage gain that is directly-controlled by the volume
adjustment. The volume range is about 100 dB with minimum volume setting to mute the
system with an overall gain of less than -60 dB. For best performance in testing, the
internal volume control should be set to a gain of 21.9 V/V, or 1 Vrms input will result in
rated output power (120 W into 4 Ω), allowing for a >11 dB overdrive.
Output Filter Design, Preamplifier and Performance
The audio performance of the IRAUDAMP4 depends on a number of different factors.
The section entitled, “Typical Performance” presents performance measurements based
on the overall system, including the preamp and output filter. While the preamp and
output filter are not part of the Class D power stage, they have a significant effect on the
overall performance.
Output filter
Since the output filter is not included in the control loop of the IRAUDAMP4, the
reference design cannot compensate for performance deterioration due to the output
filter. Therefore, it is there important to understand what characteristics are preferable
when designing the output filter:
1) The DC resistance of the inductor should me minimized to 20 mΩor less.
2) The linearity of the output inductor and capacitor should be high with respect to
load current and voltage.
Preamplifier
The preamp allows partial gain of the input signal, and in the IRAUDAMP4, controls the
volume. The preamp itself will add distortion and noise to the input signal, resulting in a
gain through the Class D output stage and appearing at the output. Even a few micro-
volts of noise can add significantly to the output noise of the overall amplifier. In fact, the
output noise from the preamp contributes more than half of the overall noise to the
system.
It is possible to evaluate the performance without the preamp and volume control, by
moving resistors R13 and R14 to R71 and R72, respectively. This effectively bypasses
the preamp and connects the RCA inputs directly to the Class D power stage input.
Improving the selection of preamp and/or output filter, will improve the overall system
performance to approach that of the stand-alone Class D power stage. In the “Typical